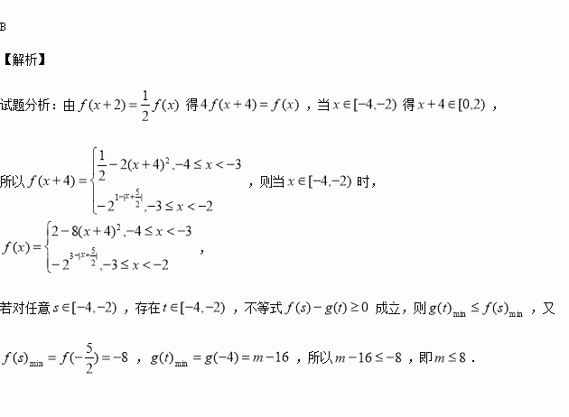
题目内容
定义在上的函数满足,当时,,函数.若对任意,存在,不等式成立,则实数的取值范围是( )
A. B. C. D.
如果-1,a,b,c,-9成等比数列,那么b=
在△ABC中,角A、B、C所对的边分别为、、,且满足-=0.
(1)求角C的大小;
(2)若,求△ABC的面积的最大值.
设集合,,则( )
三角形中,已知,其中,角所对的边分别为.
(Ⅰ)求角的大小;
(Ⅱ)求的取值范围.
已知两条直线,,且,则直线的
一个方向向量是( )
已知曲线的焦点为,过点的直线与曲线交于两点,且,则的面积等于( )
已知函数,有以下命题:
①当时,函数在上单调递增;
②当时,函数在上有极大值;
③当时,函数在上单调递减;
④当时,函数在上有极大值,有极小值.
其中不正确命题的序号是( )
A.①③ B.②③ C.①④ D.②④
已知函数,则 ,若实数满足,则的最大值为 .