题目内容
已知两点的极坐标
【答案】分析:利用极坐标与直角坐标互化的公式,将
,两点的极坐标化成直角坐标,最后利用两点距离的直角坐标公式,可以计算出AB的长.
解答:解:设点的直角坐标为A(x1,y1),
则
⇒A(0,3)
同样的方法,得到点B的直角坐标为B(
,
)
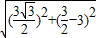
由两点之间的距离公式得:|AB|=
=3
故答案为:3.
点评:本题考查了极坐标与直角坐标互化的知识点,属于基础题.本题还可以直接用极坐标的意义,利用解三角形来解决.
解答:解:设点的直角坐标为A(x1,y1),
则
同样的方法,得到点B的直角坐标为B(
由两点之间的距离公式得:|AB|=
故答案为:3.
点评:本题考查了极坐标与直角坐标互化的知识点,属于基础题.本题还可以直接用极坐标的意义,利用解三角形来解决.
练习册系列答案
相关题目