题目内容
已知
为R上的可导函数,且
,均有
,则有 ( )
A、![]()
![]()
![]()
,![]()
![]()
![]()
![]()
B、![]()
![]()
![]()
,![]()
![]()
![]()
![]()
C、![]()
![]()
![]()
,![]()
![]()
![]()
![]()
D、![]()
![]()
![]()
,![]()
![]()
![]()
。
【答案】
D
【解析】
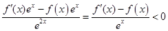
试题分析:设函数
=
,则
=-
+
=
+
<0,所以
g(x)单调递减
,所以![]()
![]()
![]()
,
不选AB;
设函数h(x)=
,则h'(x)=
,所以h(x)单调递减,
h(2013)<h(0) ![]()
![]()
![]()
选D.
考点:函数的导数和导数的性质.
练习册系列答案
相关题目