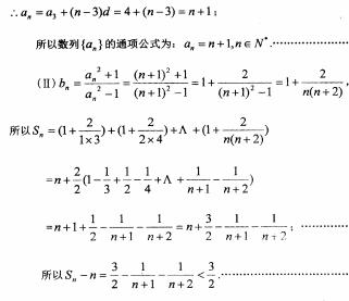
题目内容
已知公差不为零的等差数列{an},满足 al+a3+a5 =12,且a1,a5,a17成等比数列.
(I)求数列{an}的通项公式;
(II)若bn=
, 数列{bn}的前n项和为Sn,求证:Sn-n<
.
练习册系列答案
相关题目
题目内容
已知公差不为零的等差数列{an},满足 al+a3+a5 =12,且a1,a5,a17成等比数列.
(I)求数列{an}的通项公式;
(II)若bn=
, 数列{bn}的前n项和为Sn,求证:Sn-n<
.