题目内容
中,
的平分线
交边
于
,已知
,且
,则
的长为( )
A.1
B.
C.
D.3
【答案】
C
【解析】
试题分析:由题意
三点共线,则
,所以
,且
,根据角平分线的性质
,所以
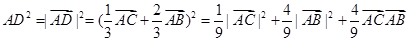
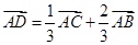
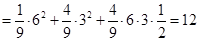
,则![]()
,所以
,故选C.
考点:1.向量共线定理;2.向量的模长计算;3.角平分线性质.
练习册系列答案
相关题目