题目内容

已知函数,其中,曲线在点处的切线垂直于轴.

(Ⅰ)求的值;

(Ⅱ)求函数的极值.

 

【答案】

 (Ⅰ);(Ⅱ)时,取得极大值时,取得极大值.

【解析】

试题分析:(Ⅰ)曲线在点处的切线垂直于轴,则函数在该点的导数为0,求导即可得的值;(Ⅱ)由(Ⅰ)可得:,求导得:,这里,故只需解不等式求得单调区间,进而求出极值.

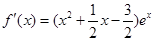
试题解析:(Ⅰ)求导得:.

曲线在点处的切线垂直于轴,则函数在该点的导数为0,

所以.

(Ⅱ)由(Ⅰ)可得:,求导得 .

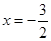
,有

时,时,时,

所以时,取得极大值时,取得极大值.

考点:导数的应用.

 

练习册系列答案
相关题目

违法和不良信息举报电话:027-86699610 举报邮箱:58377363@163.com

精英家教网