题目内容

如图,在中,的角平分线,的外接圆交.

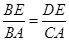
(1)求证:

(2)当时,求的长.

 

【答案】

(1)证明过程详见解析;(2).

【解析】

试题分析:本题主要以圆为几何背景考查线线相等的证明及相似三角形的证明,考查学生的转化能力和化归能力.第一问,运用相似三角形的基本方法求证;第二问,借助割线定理证明相等关系,列出表达式,通过解方程求边长.

试题解析: (1)连结

为圆的内接四边形,∴,又

,即,而,∴.

的平分线,∴,从而.(5分)

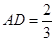
(2)由条件得,设.

根据割线定理得,即,∴

解得,即.(10分)

考点:1.相似三角形的判定和性质;2.割线定理.

 

练习册系列答案
相关题目

违法和不良信息举报电话:027-86699610 举报邮箱:58377363@163.com

精英家教网