题目内容
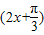
关于函数f(x)=4sin①由f(x1)=f(x2)=0可得x1-x2必是π的整数倍;
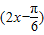
②y=f(x)的表达式可改写为y=4cos
③y=f(x)的图象关于点
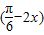
④y=f(x)的图象关于直线x=-
其中正确的命题的序号是 .(把你认为正确的命题序号都填上)
【答案】分析:首先根据函数求出最小正周期,然后根据诱导公式求出对称中心,然后根据图象分别求出最大值和最小值,最后综合判断选项.
解答:解:函数f(x)=4sin
的最小正周期T=π,
由相邻两个零点的横坐标间的距离是
=
知①错.
利用诱导公式得f(x)=4cos
=4cos
=4cos
,知②正确.
由于曲线f(x)与x轴的每个交点都是它的对称中心,
将x=-
代入得f(x)=4sin0=0,
因此点(-
,0)是f(x)图象的一个对称中心,
故命题③正确.
曲线f(x)的对称轴必经过图象的最高点或最低点,且与y轴平行,而x=-
时y=0,点
(-
,0)不是最高点也不是最低点,
故直线x=-
不是图象的对称轴,因此命题④不正确.
故答案为:②③
点评:本题考查三角函数的周期性及其求法,诱导公式的利用,以及正弦函数的对称性问题,属于基础题.
解答:解:函数f(x)=4sin
由相邻两个零点的横坐标间的距离是
利用诱导公式得f(x)=4cos
=4cos
由于曲线f(x)与x轴的每个交点都是它的对称中心,
将x=-
因此点(-
故命题③正确.
曲线f(x)的对称轴必经过图象的最高点或最低点,且与y轴平行,而x=-
(-
故直线x=-
故答案为:②③
点评:本题考查三角函数的周期性及其求法,诱导公式的利用,以及正弦函数的对称性问题,属于基础题.
练习册系列答案
相关题目