题目内容
函数
的部分图像为( )
![]()
【答案】
A
【解析】
试题分析:∵
,∴
为奇函数,所以排除
答案,
令
,则
或
,所以
或
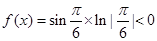
,所以,当
时,![]()
所以选A.
考点:1.函数的奇偶性;2.函数图象.
练习册系列答案
相关题目
题目内容
函数
的部分图像为( )
![]()
A
【解析】
试题分析:∵
,∴
为奇函数,所以排除
答案,
令
,则
或
,所以
或
,所以,当
时,![]()
所以选A.
考点:1.函数的奇偶性;2.函数图象.