题目内容

已知向量,向量,函数·

  (1)求的最小正周期T;

  (2)若方程上有解,求实数的取值范围.

 

【答案】

(1);(2)

【解析】

试题分析:(1)先列出的表达式,利用倍角公式将其化为一个复合角的三角函数,即可求得结果;(2)根据已知的范围,先求出的值域,从而得实数的取值范围.

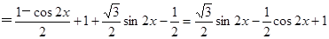
试题解析:         2分

    4分

             6分

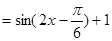
                7分

              8分

                10分

                  11分

方程上有解,实数的取值范围为     12分

考点:1.平面向量;2.三角恒等变换;3.三角函数的周期、值域.

 

练习册系列答案
相关题目

违法和不良信息举报电话:027-86699610 举报邮箱:58377363@163.com

精英家教网