题目内容
已知
,
、
满足约束条件
,若
的最小值为
,则
( )
A.
B.
C.
D.![]()
【答案】
A
【解析】
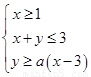
试题分析:作出不等式组
所表示的可行域如下图中阴影部分,联立
与
得点
,作直线
,则
为直线
在
轴上的截距,当直线
经过可行域上的点
时,直线
在
轴上的截距最小,此时,
取最小值,即
,解得
,故选A.
![]()
考点:线性规划
练习册系列答案
相关题目