题目内容
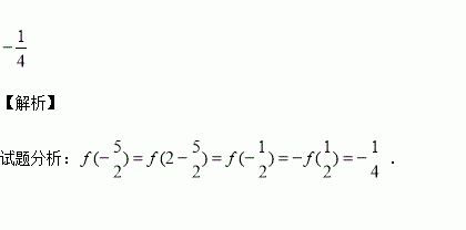
设是周期为的奇函数,当时, ,则 .
的三个内角所对的边分别为,且.
(1)求;
(2)若,求角.
四面体及其三视图如图所示.
(1)求四面体的体积;
(2)若点E为棱BC的中点,求异面直线DE和AB所成角的余弦值.
下列说法正确的是( )
A.三点确定一个平面
B.四边形一定是平面图形
C.梯形一定是平面图形
D.平面α和平面β有不同在一条直线上的三个公共点
如图所示,在四棱锥P—ABCD中,底面ABCD是边长为2的正方形,侧棱PD⊥底面ABCD,PD=DC,E是PC的中点,过E点作EF⊥PB交PB于点F.求证:
(1)PA∥平面EDB;
(2)PB⊥平面EFD;
(3)求三棱锥E-BCD的体积.
设变量,满足约束条件,则的最大值为( )
A. B. C. D.
已知全集,,则图中阴影部分表示的集合是( )
A. B.
C. D.
等差数列的公差为1,若以上述数据为样本,则此样本的方差为( )
A. B. C.60 D.30
已知,,则=_____________.