题目内容
已知两点A(0,0),B(2,0).如果椭圆
【答案】分析:过点C做x轴垂线,垂足为D,根据正三角形性质可知D为A,B的中点,C坐标为( 1,
)C点的坐标代入椭圆方程即可求得b.
解答:解:过点C做x轴垂线,垂足为D,根据正三角形性质可知D为A,B的中点,C坐标为( 1,
),
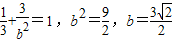
C点的坐标代入椭圆方程得
故答案为:
点评:本题主要考查了椭圆方程求解,解题的关键是充分利用正三角形的性质,求出C点的坐标.
解答:解:过点C做x轴垂线,垂足为D,根据正三角形性质可知D为A,B的中点,C坐标为( 1,
C点的坐标代入椭圆方程得
故答案为:
点评:本题主要考查了椭圆方程求解,解题的关键是充分利用正三角形的性质,求出C点的坐标.
练习册系列答案
相关题目