题目内容
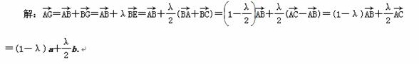
在△ABC中,E、F分别为AC、AB的中点,BE与CF相交于G点,设
=a,
=b,试用a,b表示
.
![]()
练习册系列答案
相关题目
一个容量为20的样本数据,分组后,组别与频数如下:
| 组别 | [10,20) | [20,30) | [30,40) | [40,50) | [50,60) | [60,70] |
| 频数 | 2 | 3 | 4 | 5 | 4 | 2 |
则样本在(20,50]上的频率为________.