题目内容
在平行六面体
中,以顶点
为端点的三条棱长都为
,且它们彼此的夹角都是
,则对角线
的长是 .
【答案】
![]()
【解析】
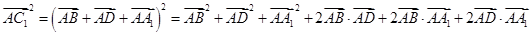
试题分析:因为![]()
又由于它们彼此的夹角都是
,那么
.所以
的长为
.
考点:平行六面体的对角线.
练习册系列答案
相关题目
题目内容
在平行六面体
中,以顶点
为端点的三条棱长都为
,且它们彼此的夹角都是
,则对角线
的长是 .
![]()
【解析】
试题分析:因为![]()
又由于它们彼此的夹角都是
,那么
.所以
的长为
.
考点:平行六面体的对角线.