搜索
题目内容
选做题
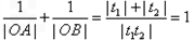
已知抛物线
,过原点O直线
与
交于
两点。
(1)求
的最小值;
(2)求
的值
试题答案
相关练习册答案
解:设直线
的参数方程为
与抛物线方程
联立得
练习册系列答案
阳光假日暑假系列答案
优佳学案暑假活动系列答案
赢在课堂激活思维系列答案
金考卷单元专项期中期末系列答案
步步高大一轮复习讲义系列答案
毕业生暑期必读系列答案
名师金手指暑假生活系列答案
暑假乐园星球地图出版社系列答案
名校秘题全程导练系列答案
千里马走向假期期末仿真试卷寒假系列答案
相关题目
下列两题选做一题.
(甲)已知椭圆短轴长为2,中心与抛物线y
2
=4x的顶点重合,椭圆的一个焦点恰是此抛物线的焦点,求椭圆方程及其长轴的长.
(乙)已知菱形的一对内角各为60°,边长为4,以菱形对角线所在的直线为坐标轴建立直角坐标系,以菱形60°角的两个顶点为焦点,并且过菱形的另外两个顶点作椭圆,求椭圆方程.
下列两题选做一题.
(甲)已知椭圆短轴长为2,中心与抛物线y
2
=4x的顶点重合,椭圆的一个焦点恰是此抛物线的焦点,求椭圆方程及其长轴的长.
(乙)已知菱形的一对内角各为60°,边长为4,以菱形对角线所在的直线为坐标轴建立直角坐标系,以菱形60°角的两个顶点为焦点,并且过菱形的另外两个顶点作椭圆,求椭圆方程.
关 闭
试题分类
高中
数学
英语
物理
化学
生物
地理
初中
数学
英语
物理
化学
生物
地理
小学
数学
英语
其他
阅读理解答案
已回答习题
未回答习题
题目汇总
试卷汇总
练习册解析答案