题目内容
定义运算:(1)若已知k=1,求解关于x的不等式
(2)若已知
【答案】分析:(1)由新定义得到一元二次不等式x2-x-1<0,解出即可.
(2)由已知得到f(x)=-
,再对
与-1,1的大小关系进行讨论即可得出答案.
解答:解:(1)由定义及k=1,且
,则x(x-k)-1<0,即x2-x-1<0,解得不等式的解集{x|
}.
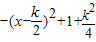
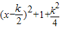
(2)∵f(x)=
=x(k-x)+1=-x2+kx+1=
,
∴f(x)max=
点评:本题考查了在新定义的条件下解一元二次不等式及求含参数的二次函数的最值,对于含参数的二次函数求最值要通过分类讨论放在单调区间内是解决问题的关键.
(2)由已知得到f(x)=-
解答:解:(1)由定义及k=1,且
(2)∵f(x)=
∴f(x)max=
点评:本题考查了在新定义的条件下解一元二次不等式及求含参数的二次函数的最值,对于含参数的二次函数求最值要通过分类讨论放在单调区间内是解决问题的关键.
练习册系列答案
相关题目