题目内容
(1)求与椭圆(2)已知两圆
【答案】分析:(1)先确定椭圆的焦点坐标,再求出抛物线的标准方程;
(2)分类讨论,结合双曲线的定义,可得点M的轨迹是以点C1,C2为焦点的双曲线,从而可得双曲线的标准方程.
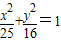
解答:解:(1)椭圆
中a=5,b=4,∴
=3
∴椭圆的焦点坐标为(±3,0)
∵抛物线与椭圆
共焦点
∴抛物线方程为y2=12x或y2=-12x;
(2)设动圆圆心M(x,y),半径为r,
当圆M与圆C1:(x+4)2+y2=2外切,与圆C2:(x-4)2+y2=2内切时,|MC1|=r+
,|MC2|=r-
,
当圆M与圆C1:(x+4)2+y2=2内切,与圆C2:(x-4)2+y2=2外切时,|MC1|=r-
,|MC2|=r+
,
∴||MC1|-|MC2||=2
<8,
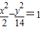
∴点M的轨迹是以点C1,C2为焦点的双曲线,且a=
,c=4
∴b2=c2-a2=14,
∴动圆圆心M的轨迹方程为
.
点评:本题考查轨迹方程,考查学生分析解决问题的能力,掌握椭圆、双曲线、抛物线的性质是关键.
(2)分类讨论,结合双曲线的定义,可得点M的轨迹是以点C1,C2为焦点的双曲线,从而可得双曲线的标准方程.
解答:解:(1)椭圆
∴椭圆的焦点坐标为(±3,0)
∵抛物线与椭圆
∴抛物线方程为y2=12x或y2=-12x;
(2)设动圆圆心M(x,y),半径为r,
当圆M与圆C1:(x+4)2+y2=2外切,与圆C2:(x-4)2+y2=2内切时,|MC1|=r+
当圆M与圆C1:(x+4)2+y2=2内切,与圆C2:(x-4)2+y2=2外切时,|MC1|=r-
∴||MC1|-|MC2||=2
∴点M的轨迹是以点C1,C2为焦点的双曲线,且a=
∴b2=c2-a2=14,
∴动圆圆心M的轨迹方程为
点评:本题考查轨迹方程,考查学生分析解决问题的能力,掌握椭圆、双曲线、抛物线的性质是关键.
练习册系列答案
相关题目