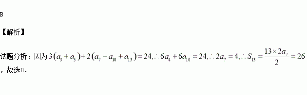
题目内容
在等差数列中,则该数列前项的和是( )
A. B. C. D.
已知函数在上既有极大值又有极小值,则的取值范围为( )
A. B.
C. D.
函数的定义域为______________.
已知为等差数列,为数列的前项和,已知.
(1)求数列的首项及公差为;
(2)证明:数列为等差数列并求其前项和.
已知内接于单位圆,且面积为,则长为的三条线段( )
A.不能构成三角形
B.能构成一个三角形,其面积为
C.能构成一个三角形,其面积大于
D.能构成一个三角形,其面积小于
(在以坐标原点为极点,轴的正半轴为极轴建立的极坐标系中,曲线的极坐标方程为.正三角形的顶点都在上,且依逆时针次序排列,点的坐标为.
(1)求点的直角坐标;
(2)设是圆上的任意一点,求的取值范围.
已知数列的前项和为,,则数列的通项公式为______.
己知二次函数的最小值为1,且.
(1)求的解析式;
(2)若在区间上不单调,求实数的取值范围;
(3)在区间上,的图象恒在的图象上方,试确定实数的取值范围.
已知集合,,则下列结论正确的是( )