题目内容
若|sinx|<cosx,则x的取值范围是 .
【答案】分析:依题意可得cosx>0,cos2x>0,利用余弦函数的性质解不等式组即可求得答案.
解答:解:∵|sinx|<cosx,
∴cosx>0且cos2x-sin2x=cos2x>0,即
,
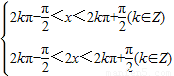
∴
,解得2kπ-
<x<2kπ+
,k∈Z.
∴x的取值范围是(2kπ-
,2kπ+
),k∈Z.
故答案为:(2kπ-
,2kπ+
),k∈Z.
点评:本题考查余弦函数的性质与二倍角的余弦,考查解三角函数不等式组的能力,属于中档题.
解答:解:∵|sinx|<cosx,
∴cosx>0且cos2x-sin2x=cos2x>0,即
∴
∴x的取值范围是(2kπ-
故答案为:(2kπ-
点评:本题考查余弦函数的性质与二倍角的余弦,考查解三角函数不等式组的能力,属于中档题.
练习册系列答案
相关题目