题目内容
数列{an}是等差数列,a1=f(x+1),a2=0,a3=f(x-1)其中f(x)=x2-4x+2,数列{an}前n项和存在最小值.(1)求通项公式an;
(2)若bn=
【答案】分析:(1)a1=f(x+1)=x2-2x-1,a2=f(x-1)=x2-6x+7由{an}为等差数列,能够求出通项公式an.
(2)由an=2n-4,知anbn=
=
=
>0,再由cn=
(
)<0,能够证明bn>cn.
解答:(1)解:a1=f(x+1)=x2-2x-1,
a2=f(x-1)=x2-6x+7,
由{an}为等差数列,
得2a2=a1+a3
∴2x2-8x+6=0,
∴x=1或x=3,
x=1时a1=-2a2=0,d=2>0符合题意,
∴an=2n-4x=3时a1=2a2=0,d=-2,舍去
∴an=2n-4.
(2)证明:由(1)知an=2n-4,
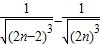
从而若bn=
=
=
=
=
=
>0,
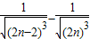
cn=
(
)<0,
∴bn>cn.
点评:本题考查数列的通项公式的求法和不等式的证明,解题时要认真审题,注意数列与函数和数列与不等式的综合运用,合理运用等价转化思想解题.
(2)由an=2n-4,知anbn=
解答:(1)解:a1=f(x+1)=x2-2x-1,
a2=f(x-1)=x2-6x+7,
由{an}为等差数列,
得2a2=a1+a3
∴2x2-8x+6=0,
∴x=1或x=3,
x=1时a1=-2a2=0,d=2>0符合题意,
∴an=2n-4x=3时a1=2a2=0,d=-2,舍去
∴an=2n-4.
(2)证明:由(1)知an=2n-4,
从而若bn=
=
=
cn=
∴bn>cn.
点评:本题考查数列的通项公式的求法和不等式的证明,解题时要认真审题,注意数列与函数和数列与不等式的综合运用,合理运用等价转化思想解题.
练习册系列答案
相关题目