题目内容
由直线
及曲线
所围成的封闭的图形的面积为( )
A.
B.
C.
D.![]()
【答案】
B
【解析】
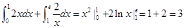
试题分析:由定积分的几何意义,由直线
及曲线
所围成的封闭的图形的面积,实际上就是定积分
,故选B.
![]()
考点:定积分的应用
练习册系列答案
相关题目