题目内容

从如图所示的正方形OABC区域内任取一个点,则点M取自阴影部分的概率为(    )

(A)         (B)       (C)       (D)

 

【答案】

B

【解析】

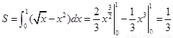
试题分析:根据题意由定积分的几何意义可得如图所示阴影部分的面积为,所以点取自阴影部分的概率为

考点:定积分的几何意义及几何概率.

 

练习册系列答案
相关题目

违法和不良信息举报电话:027-86699610 举报邮箱:58377363@163.com

精英家教网