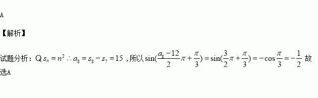
题目内容
设数列的前项和为,则的值为( )
A、 B、 C、 D、
下图所示的对应中,是从A到B的映射有_________(填序号).
(本小题满分12分)(注意: 在试题卷上作答无效)
已知数列的前项和满足,数列满足,其中.
求数列和的通项公式;
设,数列的前项和为,若对恒成立,求实数的取值范围.
如图,阴影部分的面积是( )
A.2 B.-2
C. D.
下列函数中,最小正周期为的是( ).
A. B.
正三棱锥V-ABC的底面边长为,E,F,G,H分别是VA,VB,BC,AC的中点,则四边形EFGH的面积的取值范围是( )
已知等比数列前n项和为,且,则公比q等于( )
A.3 B. C.4 D.
执行如图所示的程序框图,输出的S值为( )
A.2 B. C. D.
由无理数引发的数学危机一直延续到19世纪,直到1872年,德国数学家戴德金提出了“戴德金分割”,才结束了持续2000多年的数学史上的第一次大危机.所谓戴德金分割,是指将有理数集划分为两个非空的子集与,且满足,,中的每一个元素都小于中的每一个元素,则称为戴德金分割.试判断,对于任一戴德金分割,下列选项中不可能成立的是
A.没有最大元素,有一个最小元素
B.没有最大元素,也没有最小元素
C.有一个最大元素,有一个最小元素
D.有一个最大元素,没有最小元素