题目内容
如图,某地一天从6时至14时的温度变化曲线近似满足函数y=Asin(ωx+ψ)+b,
(Ⅰ)求这段时间的最大温差;
(Ⅱ)写出这段曲线的函数解析式。
(Ⅰ)求这段时间的最大温差;
(Ⅱ)写出这段曲线的函数解析式。
解:(Ⅰ)由图示,这段时间的最大温差是30-10=20(℃);
(Ⅱ)图中从6时到14时的图象是函数
的半个周期的图象,
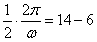
∴
,解得
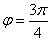
,
由图示,
,
这时
,
将x=6,y=10代入上式,可取
,
综上,所求的解析式为
。
(Ⅱ)图中从6时到14时的图象是函数
∴
由图示,
这时
将x=6,y=10代入上式,可取
综上,所求的解析式为
练习册系列答案
相关题目