题目内容
椭圆A.0<m<
B.m<
C.m>
D.m>0且m≠1
【答案】分析:利用椭圆的准线平行x轴,推出(m-1)2与m2的大小,即可求出m的范围.
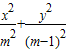
解答:解:因为椭圆
=1的准线平行于x轴,
所以(m-1)2>m2,即(m-1+m)(m-1-m)>0,
解得m
,方程为椭圆,所以m≠0,
所以m<
且m≠0
故选B.
点评:本题是基础题,考查椭圆的基本性质,字母的几何意义,注意m≠0,容易疏忽,考查计算能力.
解答:解:因为椭圆
所以(m-1)2>m2,即(m-1+m)(m-1-m)>0,
解得m
所以m<
故选B.
点评:本题是基础题,考查椭圆的基本性质,字母的几何意义,注意m≠0,容易疏忽,考查计算能力.
练习册系列答案
相关题目