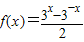
题目内容
函数A.是增函数又是偶函数
B.是增函数又是奇函数
C.是减函数又是偶函数
D.是减函数又是奇函数
【答案】分析:根据其解析式及四个选项,本题要解决的是函数的奇偶性与单调性的判断,由解析式的形式及函数性质的判断方法易得函数的性质,对比四个选项得出正确答案即可
解答:解:由题意
,考察基本函数y=3x与y=3-x,前者是增函数,后者是减函数,由函数单调性的判断规则知两者的差是一个增函数,故
是增函数.
又
,故函数是个奇函数,
故选B
点评:本题考查函数的奇偶性与单调性的综合,求解本题的关键是掌握函数单调性的判断规则以及函数的奇偶性的判断方法,属于基本概念型题
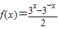
解答:解:由题意
又
故选B
点评:本题考查函数的奇偶性与单调性的综合,求解本题的关键是掌握函数单调性的判断规则以及函数的奇偶性的判断方法,属于基本概念型题
练习册系列答案
相关题目