题目内容
求经过点P(-3,0),Q(0,-2)的椭圆的标准方程,并求出椭圆的长轴长、短轴长、离心率、焦点坐标.
【答案】分析:根据经过点P(-3,0),Q(0,-2),表示出长轴,短轴长,然后写出椭圆的标准方程,进而可研究其性质.
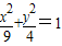
解答:解:由已知可得椭圆的标准方程为
,…(4分)
长轴长2a=6.…(5分)
短轴长 2b=4.…(6分)
离心率
.…(7分)
焦点为
.…(9分).
点评:此题考查学生会利用待定系数法求椭圆的标准方程,是一道基础题.学生做题时应注意椭圆的焦点所在位置.
解答:解:由已知可得椭圆的标准方程为
长轴长2a=6.…(5分)
短轴长 2b=4.…(6分)
离心率
焦点为
点评:此题考查学生会利用待定系数法求椭圆的标准方程,是一道基础题.学生做题时应注意椭圆的焦点所在位置.
练习册系列答案
相关题目