题目内容
已知数列
为等比数列,且
,设等差数列
的前n项和为
,若
,则
=( )
A.36 B.32 C.24 D.22
【答案】
A
【解析】
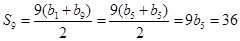
试题分析:
,∴
,∴
,∴
.
考点:1.等差、等比数列的性质;2.等差数列的求和公式.
练习册系列答案
相关题目
题目内容
已知数列
为等比数列,且
,设等差数列
的前n项和为
,若
,则
=( )
A.36 B.32 C.24 D.22
A
【解析】
试题分析:
,∴
,∴
,∴
.
考点:1.等差、等比数列的性质;2.等差数列的求和公式.