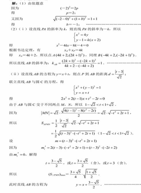
题目内容
设点P(-2,1)在抛物线
上,且到圆
上点的
最小距离为1.
( I)求p和b的值
;
( II)过点P作两条斜率互为相反数的直线, 分别与抛物线交于两点A,B,若直线AB
与圆
C交于不同两点M,N.
(i)证明直线AB的斜率为定值;
( ii)求△PMN面积取最大值时直线AB的方程.
![]()
练习册系列答案
相关题目
题目内容
设点P(-2,1)在抛物线
上,且到圆
上点的
最小距离为1.
( I)求p和b的值
;
( II)过点P作两条斜率互为相反数的直线, 分别与抛物线交于两点A,B,若直线AB
与圆
C交于不同两点M,N.
(i)证明直线AB的斜率为定值;
( ii)求△PMN面积取最大值时直线AB的方程.
![]()