题目内容
已知函数g(x)=(1)求m+n的值;
(2)若g(x)>log4(2a+2)对任意的x≥1恒成立,求a的取值范围.
【答案】分析:(1)根据定义在R上奇函数满足g(0)=0,解出n=1,再根据f(-x)=f(x),化简整理得到m=-
,由此可得m+n的值;
(2)由(1)表示出g(x),解决该问题只需求出g(x)的最小值,易判断g(x)在[1,+∞)上的单调性,根据单调性可求出g(x)的最小值;
解答:解:(1)由于g(x)为奇函数,且定义域为R,
∴g(0)=0,即
=0,解之得n=1,
由于f(x)=log4(4x+1)+mx,
∴f(-x)=log4(4-x+1)-mx=log4(4x+1)-(m+1)x,
∵f(x)=log4(4x+1)+mx是偶函数,
∴f(-x)=f(x),得到mx=-(m+1)x恒成立,故m=-
,
由此可得:m+n的值为
;
(2)由(1)知,g(x)=
=2x-2-x在区间[1,+∞)上时增函数,
所以当x≥1时,g(x)min=g(1)=
,
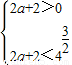
由题意,得
,解得-1<a<3,
故实数a的取值范围是:{a|-1<a<3}.
点评:本题考查函数奇偶性、单调性的综合应用,考查函数恒成立问题,考查转化思想,属中档题.
(2)由(1)表示出g(x),解决该问题只需求出g(x)的最小值,易判断g(x)在[1,+∞)上的单调性,根据单调性可求出g(x)的最小值;
解答:解:(1)由于g(x)为奇函数,且定义域为R,
∴g(0)=0,即
由于f(x)=log4(4x+1)+mx,
∴f(-x)=log4(4-x+1)-mx=log4(4x+1)-(m+1)x,
∵f(x)=log4(4x+1)+mx是偶函数,
∴f(-x)=f(x),得到mx=-(m+1)x恒成立,故m=-
由此可得:m+n的值为
(2)由(1)知,g(x)=
所以当x≥1时,g(x)min=g(1)=
由题意,得
故实数a的取值范围是:{a|-1<a<3}.
点评:本题考查函数奇偶性、单调性的综合应用,考查函数恒成立问题,考查转化思想,属中档题.
练习册系列答案
相关题目