题目内容
已知等比数列{bn},公比q>0,b3=8,前n项和Tn满足T3=14,且数列{an}满足an+1-2log2bn=0(n∈N*)(1)求{an},{bn}的通项公式;
(2)数列{cn}满足cn=an•bn,求数列{cn}的前n项和Sn.
【答案】分析:(1)由题意可得关于数列{bn}的首项、公比的方程组,解出可得bn,再代入已知等式可得an;
(2)先由(1)可得cn,然后利用错位相减法可求得Sn.
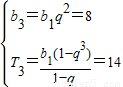
解答:解:(1)设数列{bn}的首项b1,由题意得,
,
解方程组得:q=2,b1=2,
∴
,an=2log2bn-1=2n-1;
(2)由(1)
,
∴
,
则
,
两式相减得,
=2×(2+22+…+2n)-(2n-1)•2n+1-2=-(2n-3)•2n+1-6,
∴
.
点评:本题考查等差等比数列的通项公式、错位相减法对数列求和,考查学生的运算求解能力,熟记相关问题的基本方法是解决问题的关键.
(2)先由(1)可得cn,然后利用错位相减法可求得Sn.
解答:解:(1)设数列{bn}的首项b1,由题意得,
解方程组得:q=2,b1=2,
∴
(2)由(1)
∴
则
两式相减得,
∴
点评:本题考查等差等比数列的通项公式、错位相减法对数列求和,考查学生的运算求解能力,熟记相关问题的基本方法是解决问题的关键.
练习册系列答案
相关题目