题目内容
设关于x的一元二次方程为x2+2ax+b2=0,
(1)设a是0,1,2,3四个数中任取的一个数,b是从0,1,2三个数中任取的一个数,求上述方程有实根的概率;
(2)若a是从区间[0,3]中任取的一个数,b是从区间[0,2]中任取的一个数,求上述方程有实根的概率.
(1)设a是0,1,2,3四个数中任取的一个数,b是从0,1,2三个数中任取的一个数,求上述方程有实根的概率;
(2)若a是从区间[0,3]中任取的一个数,b是从区间[0,2]中任取的一个数,求上述方程有实根的概率.
解:(1)设事件A为“方程
有实根”,
当a≥0,b≥0时,方程
有实根的充要条件为△≥0即a≥b,
基本事件共12个:(0,0),(0,1),(0,2),(1,0),(1,1),(1,2),(2,0),(2,1),(2,2),(3,0),(3,1),(3,2),第一个数表示a的取值,第二个数表示b的取值,
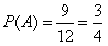
∴事件A包含(0,0),(1,0),(1,1),(2,0),(2,1),(2,2),(3,0),(3,1),(3,2)9个基本事件, ∴事件A发生的概率为
;
(2)试验的全部结果所构成的区域为{(a,b)|0≤a≤3,0≤b≤2},
构成事件A的区域为{(a,b)|0≤a≤3,0≤b≤2,a≥b},
故所求的概率
。
当a≥0,b≥0时,方程
基本事件共12个:(0,0),(0,1),(0,2),(1,0),(1,1),(1,2),(2,0),(2,1),(2,2),(3,0),(3,1),(3,2),第一个数表示a的取值,第二个数表示b的取值,
∴事件A包含(0,0),(1,0),(1,1),(2,0),(2,1),(2,2),(3,0),(3,1),(3,2)9个基本事件, ∴事件A发生的概率为
(2)试验的全部结果所构成的区域为{(a,b)|0≤a≤3,0≤b≤2},
构成事件A的区域为{(a,b)|0≤a≤3,0≤b≤2,a≥b},
故所求的概率
练习册系列答案
相关题目