题目内容
已知线段(1)建立适当的直角坐标系,求动点A所在的曲线方程;
(2)若a=2,动点B满足BC+BD=4,且OA⊥OB,试求△AOB面积的最大值和最小值.
【答案】分析:(1)先以O为圆心,CD所在直线为轴建立平面直角坐标系,对开2a与2
的大小关系进行分类讨论,从而即可得到动点A所在的曲线;
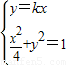
(2)当a=2时,其曲线方程为椭圆
,设A(x1,y1),B(x2,y2),OA的斜率为k(k≠0),则OA的方程为y=kx,将直线的方程代入椭圆的方程,消去y得到关于x的一元二次方程,再结合涉及弦长问题,常用“韦达定理法”设而不求计算弦长(即应用弦长公式),求得△AOB面积,最后求出面积的最大值即可,从而解决问题.
解答:解:(1)以O为圆心,CD所在直线为轴建立平面直角坐标系
若
,即
,动点A所在的曲线不存在;
若
,即
,动点A所在的曲线方程为
;
若
,即
,动点A所在的曲线方程为
(4分)
(2)当a=2时,其曲线方程为椭圆
由条件知A,B两点均在椭圆
上,且OA⊥OB
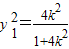
设A(x1,y1),B(x2,y2),OA的斜率为k(k≠0),
则OA的方程为y=kx,OB的方程为
,解方程组
,得
,
同理可求得
,
,
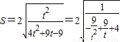
△AOB面积
=
(8分)
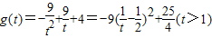
令1+k2=t(t>1)则
令
所以
,即
当k=0时,可求得S=1,故
,故S的最小值为
,最大值为1(12分)
点评:本小题主要考查直线与圆锥曲线的综合问题、基本不等式、椭圆方程等基础知识,考查运算求解能力、化归与转化思想.涉及弦长问题,常用“韦达定理法”设而不求计算弦长(即应用弦长公式).属于中档题.
(2)当a=2时,其曲线方程为椭圆
解答:解:(1)以O为圆心,CD所在直线为轴建立平面直角坐标系
若
若
若
(2)当a=2时,其曲线方程为椭圆
由条件知A,B两点均在椭圆
设A(x1,y1),B(x2,y2),OA的斜率为k(k≠0),
则OA的方程为y=kx,OB的方程为
同理可求得
△AOB面积
令1+k2=t(t>1)则
令
当k=0时,可求得S=1,故
点评:本小题主要考查直线与圆锥曲线的综合问题、基本不等式、椭圆方程等基础知识,考查运算求解能力、化归与转化思想.涉及弦长问题,常用“韦达定理法”设而不求计算弦长(即应用弦长公式).属于中档题.
练习册系列答案
相关题目