搜索
题目内容
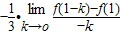
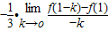
设函数f(x)可导,则
等于( )
A.f'(1)
B.
C.
D.-3f'(1)
试题答案
相关练习册答案
【答案】
分析:
根据函数在某一点的导数的定义,要求的式子即
,即
=
,从而得出结论.
解答:
解:
=
=
=
,
故选C.
点评:
本题主要考查函数在某一点的导数的定义,属于基础题.
练习册系列答案
一卷通AB卷快乐学习夺冠100分系列答案
创新名校秘题系列答案
名校练加考系列答案
小学教材全测系列答案
核心课堂天津人民出版社系列答案
小学数学口算题卡脱口而出系列答案
优秀生新口算题卡口算天天练系列答案
优秀生应用题卡口算天天练系列答案
黄冈新编口算题卡与应用题系列答案
浙江之星课时优化作业系列答案
相关题目
设函数f(x)可导,则
lim
△x→0
f(1+△x)-f(1)
3△x
等于( )
A.f′(1)
B.3f′(1)
C.
1
3
f′(1)
D.f′(3)
设函数f(x)可导,则
lim
k→o
f(1-k)-f(1)
3k
等于( )
A.f'(1)
B.
1
3
f′(1)
C.
-
1
3
f′(1)
D.-3f'(1)
设函数
f
(
x
)可导,则
等于
A.
f'
(1) B.不存在
C.
f'
(1) D.以上都不对
设函数f(x)可导,则
等于
[ ]
A.f′(1)
B.3f′(1)
C.
f′(1)
D.f′(3)
关 闭
试题分类
高中
数学
英语
物理
化学
生物
地理
初中
数学
英语
物理
化学
生物
地理
小学
数学
英语
其他
阅读理解答案
已回答习题
未回答习题
题目汇总
试卷汇总
练习册解析答案