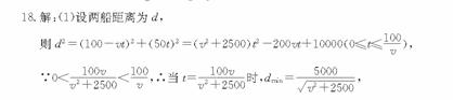
题目内容
如图,两海上航线垂直相交于钓鱼岛A,若已知AB = 1OO海里,甲渔船从A岛辙离,沿AC 方向以50海里/小时的速度行驶,同时乙巡航船从B码头出发,沿BA方向以V海里/小时的速度行驶,至A岛即停止前行(甲船仍继续行驶)(两船的船长忽略不计).
(1) 求甲、乙两船的最近距离(用含v的式子表示);
(2)若甲、乙两船开始行驶到甲、乙两船相距最近时所用时间为t小时,问v为何值时“最大?
![]()
练习册系列答案
相关题目
题目内容
如图,两海上航线垂直相交于钓鱼岛A,若已知AB = 1OO海里,甲渔船从A岛辙离,沿AC 方向以50海里/小时的速度行驶,同时乙巡航船从B码头出发,沿BA方向以V海里/小时的速度行驶,至A岛即停止前行(甲船仍继续行驶)(两船的船长忽略不计).
(1) 求甲、乙两船的最近距离(用含v的式子表示);
(2)若甲、乙两船开始行驶到甲、乙两船相距最近时所用时间为t小时,问v为何值时“最大?
![]()