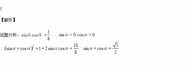
题目内容
已知α是三角形的内角,且sinαcosα =,则cosα+sinα的值等于( )
A.± B.± C. D.-
数列,满足,,则数列的前10项的和为
A. B. C. D.
连续3次抛掷一枚质地均匀的硬币,在至少有一次出现正面向上的条件下,恰有一次出现反面向上的概率为 .
函数的单调递减区间为 .
已知命题:“若,则”则原命题、逆命题、否命题、逆否命题这四个命题中,真命题的个数是( )
A .0 B.1 C.2 D.4
若偶函数f(x)在区间(-∞,-1]上是增函数,则 ( )
A.f(-)<f(-1)<f(2)
B.f(-1)<f(-)<f(2)
C.f(2)<f(-1)<f(-)
D.f(2)<f(-)<f(-1)
在△ABC中,BC=1,B=,当△ABC的面积等于时,AB=________.
已知f(x)=3-2|x|,g(x)=x2-2x,F(x)=,则F(x)的最大值是_ .
函数的定义域为( )
A.(,)
B.,1)
C.(,4)
D.()(