题目内容
已知正数a,b满足ab=1,则“a=b=1”是“a2+b2=2”的( )A.充分不必要条件
B.必要不充分条件
C.充要条件
D.既不充分也不必要条件
【答案】分析:判断出若“a=b=1”成立推出“a2+b2=2”一定成立,反之,若“a2+b2=2”成立,通过消元解方程判断出“a=b=1”成立,利用充要条件的有关定义得到结论.
解答:解:若“a=b=1”成立,“a2+b2=2”一定成立,
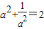
反之,若“a2+b2=2”成立,又因为ab=1,
所以
所以a2=1,
因为a,b为正数,
所以a=1,b=1,
所以“a=b=1”成立,
所以“a=b=1”是“a2+b2=2”的充要条件,
故选C.
点评:本题考查判断一个命题是另一个命题的什么条件,应该两边互相推一下,然后利用充要条件的有关定义进行判断,属于基础题.
解答:解:若“a=b=1”成立,“a2+b2=2”一定成立,
反之,若“a2+b2=2”成立,又因为ab=1,
所以
所以a2=1,
因为a,b为正数,
所以a=1,b=1,
所以“a=b=1”成立,
所以“a=b=1”是“a2+b2=2”的充要条件,
故选C.
点评:本题考查判断一个命题是另一个命题的什么条件,应该两边互相推一下,然后利用充要条件的有关定义进行判断,属于基础题.
练习册系列答案
相关题目