题目内容
已知正项数列
的前
项和为
,
是
与
的等比中项.
(Ⅰ)若
,且
,求数列
的通项公式;
(Ⅱ)在(Ⅰ)的条件下,若
,求数列
的前
项和
.
【答案】
(Ⅰ)
;(Ⅱ)
.
【解析】
试题分析:(Ⅰ)已知正项数列
的前
项和为
,
是
与
的等比中项,若
,且
,求数列
的通项公式,此题关键是求
,要求
利用
是
与
的等比中项,得
,当
时,
,求得
,从而得
,再由
,得
,这样得数列
是以2为公比的等比数列,从而得数列
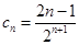
的通项公式;(Ⅱ)若
,求数列
的前
项和
,首先求数列
的通项公式,由
,只需求出数列
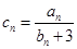
的通项公式,由前面可知
,可利用
来求,求得
,得
,这是一个等比数列与一个等差数列对应项积所组成的数列,求它的和可用错为相减法来求.
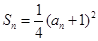
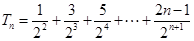
试题解析:(Ⅰ)
,即
,当
时,
,∴
,当
时,
,∴
,即
,
∵
∴
,∴数列
是等差数列,由
得
,∴数列
是以2为公比的等比数列,∴
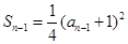
,∴
![]()
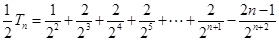
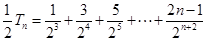
(Ⅱ)
,
∴
①,
两边同乘以
得
②,
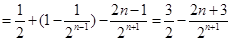
①-②得![]()
.
考点:求数列的通项公式,数列求和.
练习册系列答案
相关题目