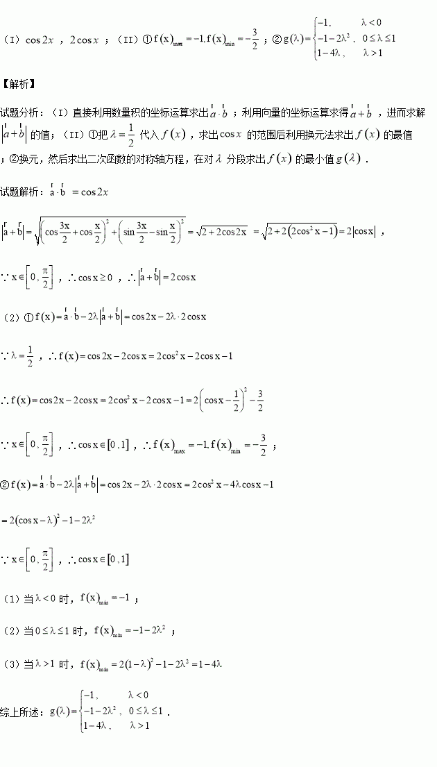
题目内容
已知向量,且.
(Ⅰ)求及;
(Ⅱ)若函数.
①当时求的最小值和最大值;
②试求的最小值.
已知首项为的等比数列不是递减数列,其前项和为,且成等差数列.
(1)求数列通项公式;
(2)设,求数列的最大项的值与最小项的值.
已知平面向量满足,且,则向量与夹角的正切值为( )
A. B. C. D.
如图,阴影部分的面积是( )
设,将表示成分数指数幂,其结果是( )
(Ⅰ)已知,求;
(Ⅱ)已知,求.
若将函数的图象向左平移个单位长度,则平移后图象的对称轴为( )
A. B.
C. D.
数列{an}满足a1=2,且an+1﹣an=2n(n∈N*),则数列的前10项和为_______.
如图,△ABC中,AC的中垂线交AC、AB于点D、F,BE⊥DF交DF延长线于点E,若∠A=30°,BC=2,AF=BF,则四边形BCDE的面积是( )
A.2 B.2 C.3 D.3