题目内容
已知双曲线A.2
B.
C.
D.
【答案】分析:由题设条件可知双曲线焦点在x轴,可得a、b的关系,进而由离心率的公式,计算可得答案.
解答:解:根据题意可得:双曲线的焦点在x轴,
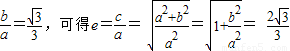
由渐近线方程可得
,
故选C.
点评:本题主要考查双曲线的渐近线方程和离心率公式,涉及a,b,c间的关系,比较简单
解答:解:根据题意可得:双曲线的焦点在x轴,
由渐近线方程可得
故选C.
点评:本题主要考查双曲线的渐近线方程和离心率公式,涉及a,b,c间的关系,比较简单
练习册系列答案
相关题目