题目内容

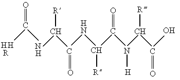
下图是多肽的结构图,据图回答:

(1)图中的多肽是由________个氨基酸组成.

(2)用虚框标出其中的一个肽键.

(3)多肽就是蛋白质吗?

答案:略
解析:

14

2

3)一个蛋白质分子是由一条或多条肽链组成,这几条肽链只有盘旋折叠形成复杂的空间结构,具有一定的功能才是蛋白质.


练习册系列答案
相关题目

违法和不良信息举报电话:027-86699610 举报邮箱:58377363@163.com

精英家教网