ÌâÄ¿ÄÚÈÝ

ʵÑéÊÒÓÃȼÉÕ·¨²â¶¨Ä³ÖÖ°±»ùËá(CxHyOzNp)µÄ·Ö×Ó×é³É£®È¡w g¸ÃÖÖ°±»ùËá·ÅÔÚ´¿ÑõÖгä·ÖȼÉÕ£¬Éú³ÉCO2¡¢H2OºÍN2£®ÏÖÓÃÏÂͼËùʾװÖýøÐÐʵÑé(Ìú¼Ų̈¡¢Ìú¼Ð¡¢¾Æ¾«µÆµÈδ»­³ö)£¬Çë»Ø´ðÓйØÎÊÌ⣺

(1)

ʵÑ鿪ʼʱ£¬Ê×ÏÈ´ò¿ªÖ¹Ë®¼Ða£¬¹Ø±Õֹˮ¼Ðb£¬Í¨Ò»¶Îʱ¼äµÄ´¿Ñõ£¬ÕâÑù×öµÄÄ¿µÄÊÇ________£»Ö®ºóÔòÐè¹Ø±Õֹˮ¼Ð________£¬´ò¿ªÖ¹Ë®¼Ð________£®

(2)

ÒÔÉÏ×°ÖÃÖÐÐèÒª¼ÓÈȵÄÓÐ(Ìî×°ÖôúºÅ)________£¬²Ù×÷ʱӦÏȵãȼ________´¦µÄ¾Æ¾«µÆ£®

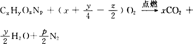
(3)

×°ÖÃAÖз¢Éú·´Ó¦µÄ»¯Ñ§·½³ÌʽΪ________£®

(4)

×°ÖÃDµÄ×÷ÓÃÊÇ________£®

(5)

Ϊ½«N2ËùÅÅË®µÄÌå»ý²â×¼£¬·´Ó¦Ç°Ó¦½«Á¬½ÓEºÍF×°ÖõIJ£Á§µ¼¹ÜÖгäÂú________(Ìî¡°Ë®¡±¡¢¡°¿ÕÆø¡±»ò¡°ÑõÆø¡±)£¬¼òÊöÀíÓÉ________£®

(6)

¶ÁÈ¡N2ËùÅÅË®µÄÌå»ýʱ£¬Òª×¢Ò⣺¢Ù________£»¢Ú________£®

(7)

ʵÑéÖвâµÃN2µÄÌå»ýΪV mL(ÒÑ»»Ëã³É±ê×¼×´¿ö)£®ÎªÈ·¶¨´Ë°±»ùËáµÄ·Ö×Óʽ£¬»¹ÐèµÃµ½µÄÊý¾ÝÓÐ________£®

A£®

Éú³É¶þÑõ»¯Ì¼ÆøÌåµÄÖÊÁ¿

B£®

Éú³ÉË®µÄÖÊÁ¿

C£®

ͨÈëÑõÆøµÄÌå»ý

D£®

¸Ã°±»ùËáµÄĦ¶ûÖÊÁ¿

(8)

Èç¹û½«×°ÖÃÖÐB¡¢CµÄÁ¬½Ó˳Ðò±äΪC¡¢B£¬¸ÃʵÑéµÄÄ¿µÄÄÜ·ñ´ïµ½£¿¼òÊöÀíÓÉ£º________£®

´ð°¸£º7£®ABD;
½âÎö£º

(1)

½«×°ÖÃÖеÄN2Åž»¡¡a¡¡b

(2)

AºÍD¡¡D

(3)

(4)

ÎüÊÕδ·´Ó¦µÄO2£¬±£Ö¤×îÖÕÊÕ¼¯µ½µÄÆøÌåÊÇ·´Ó¦Éú³ÉµÄN2

(5)

Ë®¡¡Õâ¶Î²£Á§¹ÜÖÐÈç³äÂúÆøÌ壬½«²»Äܱ»ÊÕ¼¯ºÍ²âÁ¿£¬µ¼Ö½ϴóµÄʵÑéÎó²î£»¶ø³äÂúˮʱ½«±£Ö¤½øÈë×°ÖÃEµÄÆøÌåÌå»ýÓëÅųöË®µÄÌå»ý»ù±¾ÏàµÈ

(6)

¢ÙÁ¿Í²ÖеÄÒºÃæÓ¦Óë¹ã¿ÚÆ¿ÖеÄÒºÃæÏà³Öƽ¡¡¢ÚÊÓÏßÓ¦Óë¿Ì¶ÈÏߺͰ¼ÒºÃæ×îµÍµãÏàÇÐ

(8)

²»ÄÜ´ïµ½¸ÃʵÑéµÄÄ¿µÄ£®ÒòΪ¼îʯ»ÒÊǼîÐÔ¸ÉÔï¼Á½«Í¬Ê±ÎüÊÕH2OºÍCO2Á½ÖÖÆøÌ壬ʹʵÑé½á¹ûȱÉÙ±ØÒªµÄÊý¾Ý£¬ÎÞ·¨È·¶¨¸Ã°±»ùËáµÄ·Ö×Ó×é³É


Á·Ï°²áϵÁдð°¸
Ïà¹ØÌâÄ¿

ʵÑéÊÒÓÃȼÉÕ·¨²â¶¨Ä³°±»ùËáCxHyOzNpµÄ·Ö×Ó×é³É¡£È¡mg¸ÃÖÖ°±»ùËá·ÅÔÚ´¿ÑõÖгä·ÖȼÉÕ£¬Éú³ÉCO2¡¢H2OºÍN2£¬ÊµÑé×°ÖÃÈçÏÂͼ£º

Çë»Ø´ðÏÂÁÐÓйØÎÊÌ⣺

£¨1£©ÊµÑ鿪ʼʱ£¬Ê×ÏÈҪͨÈëÒ»¶Îʱ¼äµÄÑõÆø£¬ÆäÀíÓÉÊÇ£º

                                                                          £¬

£¨2£©ÒÔÉÏ×°ÖÃÖÐÐèÒª¼ÓÈȵÄÒÇÆ÷ÓР            £¨Ìî×Öĸ£¬ÏÂͬ£©²Ù×÷ʱӦÏȵãȼ

                      ´¦µÄ¾Æ¾«µÆ¡£

£¨3£©A×°ÖÃÖз¢Éú·´Ó¦µÄ»¯Ñ§·½³ÌʽÊÇ£º

                                                                 

£¨4£©×°ÖÃDµÄ×÷ÓÃÊÇ£º                                            

£¨5£©¶ÁÈ¡N2Ìå»ýʱ£¬Ó¦×¢Ò⣺¢Ù                            £»

¢Ú                                        ¡£

£¨6£©ÊµÑéÖвâµÃN2µÄÌå»ýVmL£¨ÒÑÕÛËãΪ±ê×¼×´¿ö£©£¬ÎªÈ·¶¨´Ë°±»ùËáµÄ·Ö×Óʽ£¬»¹ÐèÒªµÄÓйØÊý¾ÝÓР                £¨ÓÃ×ÖĸÌî¿Õ£©¡£

       A£®Éú³É¶þÑõ»¯Ì¼ÆøÌåµÄÖÊÁ¿

B£®°±»ùËáµÄÏà¶Ô·Ö×ÓÖÊÁ¿

C£®Í¨ÈëÑõÆøµÄÌå»ý

D£®Éú³ÉË®µÄÖÊÁ¿

Î¥·¨ºÍ²»Á¼ÐÅÏ¢¾Ù±¨µç»°£º027-86699610 ¾Ù±¨ÓÊÏ䣺58377363@163.com

¾«Ó¢¼Ò½ÌÍø