题目内容

孔雀石和石青是自然界存在的两种碳酸盐类铜矿,它们的化学组成可表示为:xCuCO3·yCu(OH)2(x、y为正整数且x≤2,y≤2).

(1)孔雀石和石青分别与过量盐酸反应时,孔雀石耗用的盐酸的物质的量与生成的CO2的物质的量之比为4∶1;石青则为3∶1.请推算它们的化学组成.

孔雀石:________;石青:________.

(2)现有孔雀石和石青混合样品,取两份等质量的样品,在一份中加入过量盐酸,生成CO2 3.36 L(标准状况下);加热另一份样品使其完全分解,得到CuO 20 g.试通过计算确定该混合物中孔雀石和石青的物质的量之比.

答案:
解析:

  答案:(1)CuCO3·Cu(OH)2 2CuCO3·Cu(OH)2

  (2)1∶1

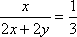
  解析:(1)设孔雀石的化学式为xCuCO3·yCu(OH)2

  则依题意

  

  则孔雀石的化学式为CuCO3·Cu(OH)2

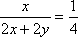
  又设石青的化学式为xCuCO3·yCu(OH)2

  则

  

  则石青的化学式为2CuCO3·Cu(OH)2

  (2)设该样品中孔雀石物质的量分数为x,则石青为1-x,

  

  解得:x=0.5

  则孔雀石与石青的物质的量之比为1∶1.


练习册系列答案
相关题目

违法和不良信息举报电话:027-86699610 举报邮箱:58377363@163.com

精英家教网