题目内容
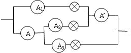
如图所示,电流表A1、A2、A3的示数分别为30mA、50mA、70mA,则电流表示数正确的是( )

| A.A的示数是100mA | B.A的示数是70mA |
| C.A′的示数是80mA | D.A′的示数是30mA |
设电流由左侧流入,则分为两支,一支流入A1,另一支流入A;由A流出的电流一支流入A2,另一支流入A3;A1及A2中的电流混合后流入电负极;故三个灯泡为并联关系;如图所示:

A测量流过A2、A3的电流;A'测量流过A1、A2的电流
流过A的电流I=I2+I3=50mA+70mA=120mA;
A'的电流I'=I1+I2=30mA+50mA=80mA;
故选C.
A测量流过A2、A3的电流;A'测量流过A1、A2的电流
流过A的电流I=I2+I3=50mA+70mA=120mA;
A'的电流I'=I1+I2=30mA+50mA=80mA;
故选C.
练习册系列答案
相关题目