ÌâÄ¿ÄÚÈÝ

Èçͼ20ËùʾÊÇË®¿â´ó°ÓÕ¢ÃÅ¿ª±Õ×°ÖÃʾÒâͼ£¬ÉèÕ¢ÃÅΪ¸ß5m£¬µ×Ãæ»ý0.6m2µÄ³¤·½Ì壬ÓÃÃܶÈΪ8´103kg/m3µÄºÏ½ð²ÄÁÏÖÆ³É¡£Ä³Ê±¿Ì£¬Õ¢ÃŽþÈëË®ÖÐÉî¶ÈΪ4m£¬ÇÒ²»´¥µ×£¬Õ¢ÃŶ¥¶Ë¹ÒÔÚÓëµç¶¯»úÏàÁ¬µÄ¶¯»¬ÂÖÏ´¦ÓÚ¾²Ö¹×´Ì¬£¬£¨¸ÖÀºͻ¬ÂÖµÄÖØÁ¦¡¢ÂÖÓëÖá¼äµÄĦ²Á¡¢Õ¢ÃÅÓë¹Ì¶¨»¬¹ìµÄĦ²Á¡¢Ë®¿âˮλµÄ±ä»¯¾ù²»¼Æ£¬gÈ¡10N/kg£©

Ç󣺣¨1£©Õ¢ÃÅËùÊܵÄÖØÁ¦¡£

£¨2£©Õ¢Ãŵײ¿Êܵ½Ë®µÄѹǿ¡£

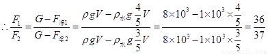
£¨3£©½þÈëË®ÖÐÉî¶ÈΪ4 mʱµç¶¯»ú¶Ô¸ÖÀµÄÀ­Á¦ÎªF1£¬µ±Õ¢ÃÅÓÉÉÏÊöλÖÃÒÔ0.2m/sµÄËÙ¶ÈÔÚË®ÖÐÔÈËÙÉÏÉý5sʱ£¬µç¶¯»ú¶Ô¸ÖÀÂÀ­Á¦ÎªF2£¬¼ÆËãF1ÓëF2µÄ±ÈÖµ¡£

 

¡¾´ð°¸¡¿

£¨1£©2.4¡Á105N£¨2£©4¡Á104Pa£¨3£©36:37

¡¾½âÎö¡¿

ÊÔÌâ·ÖÎö£ºÊ×ÏȼÆËã³öÕ¢ÃŵÄÌå»ýV=Sh£¬¸ù¾Ý¹«Ê½¦Ñ=µÃ£¬m=¦ÑV£¬×îºó¸ù¾Ý¹«Ê½G=mg¼ÆËã³öÕ¢ÃŵÄÖØÁ¦£»¸ù¾Ý¹«Ê½p=¦ÑË®gh½øÐмÆË㣻Ê×Ïȸù¾ÝÌâÒâ¼ÆËã³öÁ½ÖÖÇé¿öÏÂբÎþÈëË®ÖеÄÌå»ý£¬¸ù¾Ý¹«Ê½F¸¡=¦ÑË®gVÅżÆËã³öÕ¢ÃÅÔÚ²»Í¬Éî¶È´¦Ê±ËùÊܵĸ¡Á¦£¬¸ù¾ÝF=G F¸¡¼ÆËã³öÁ½ÖÖÇé¿öÏ»¬ÂÖ×é¶ÔÕ¢ÃŵÄÀ­Á¦£»ÓÖÒòΪ»¬ÂÖ×éÓÉ4¶ÎÉþ×ӳе£ÎïÖØ£¬ËùÒÔFÀ­=£¬´Ó¶øÇó³öÁ½ÖÖÇé¿öϵÄÀ­Á¦±È¡£

£¨1£©G=¦ÑVg=8¡Á103 kg/m3¡Á0.6 m2¡Á5 m¡Á10N/kg =2.4¡Á105N

£¨2£©p=¦ÑË®gh=1¡Á103 kg/m3¡Á10N/kg¡Á4 m=4¡Á104Pa

£¨3£©F¸¡1=¦ÑË®gVÅÅ1£¬¸ÖÀÂÀ­Á¦F1=£¨G F¸¡1£©/4

t=5sʱ£¬s=vt=0.2m/s¡Á5s=1 mբÎþÔÚË®ÖеÄÉî¶Èh¡¯=3m

 F¸¡2=¦ÑË®gVÅÅ2£¬   ¸ÖÀÂÀ­Á¦F2=£¨G F¸¡2£©/4

¿¼µã£ºÑ¹Ç¿¡¢»¬ÂÖ×é

 

Á·Ï°²áϵÁдð°¸
Ïà¹ØÌâÄ¿
£¨2005?Î人£©Çý³µÑØÎäººÈÆ³Ç¹«Â·£¨¼ò³ÆÍâ»·£©Ðнø£¬»á¿´µ½È«³¤188kmµÄÏÖ´ú»¯¸ßËÙ¹«Â·Á½²à£¬¸÷ÓÐ100m¿íºÅ³Æ¡°ÖлªµÚÒ»»·¡±µÄÎ人»·³ÇÉ­ÁÖÉú̬ÂÌ´ø£®
£¨1£©×¨¼Ò²âË㣬»·³ÇÂÌ»¯´øÊ÷Ã糤³ÉŨÒñºó£¬ÂÌ»¯´ø³£Äêº­ÑøË®Ô´Ï൱ÓÚÒ»×ùÈÝ»ýΪ1.14¡Á107m3µÄÖÐÐÍË®¿â£¬ÓÉÓÚË®µÄ±ÈÈÈÈÝ´ó£¬ÄÜʹÎ人³ÇÇøÏマßÎÂϽµ1¡æÒÔÉÏ£¬ÓÐЧ»º½âÈÕÒæÑÏÖØµÄ¡°ÈȵºÐ§Ó¦¡±£®ÈôÕâ¸ö¡°Ë®¿â¡±Ë®ÎÂÉý¸ß1¡æËùÎüÊÕµÄÈÈÁ¿ÍêÈ«±»ÖÊÁ¿ÏàµÈµÄ¸ÉÄàÍÁÎüÊÕ£¬¿Éʹ¸ÉÄàÍÁζÈÉÏÉý
5
5
¡æ£®[cÄàÍÁ=0.84¡Á103J/£¨kg?¡æ£©£¬cË®=4.2¡Á103J/£¨kg?¡æ£©]
£¨2£©ÔëÉùÊǵ±´úÉç»áµÄ¹«º¦Ö®Ò»£¬ËüÊÇÓÉ·¢ÉùÌåµÄ
Õñ¶¯
Õñ¶¯
²úÉúµÄ£¬ÓÐ×ÊÁÏÏÔʾ£¬ÔëÉùÿ¾­¹ýÒ»Ìõ100m¿íµÄÁÖ´ø¿É½µµÍ20¡«25·Ö±´£¬´Ó¼õÈõÔëÉùµÄ;¾¶¿´£¬ÕâÊÇÔÚ
´«²¥¹ý³Ì
´«²¥¹ý³Ì
ÖнµµÍÔëÉùµÄ£®
£¨3£©¡°Íâ»·¡±È«Ïß¹áͨºó£¬Ð¡¸ÕÈ«¼ÒÀûÓÃÐÇÆÚÈճ˳µÑØ¡°Íâ»·¡±¹Û¹â£¬¼ÙÈç³µÖС°Ëٶȼơ±µÄʾÊýÈçͼËùʾ£¬ËûÃÇÑØ¡°Íâ»·¡±ÓÎÍæÒ»ÖÜËùÓõÄʱ¼äΪ
3.76
3.76
h£®Í¾ÖÐС¸ÕÓá°Éµ¹ÏÏà»ú¡±ÔÚͬһµØµã¶Ôͬһ¾°ÎïÅÄÏÂÁËÁ½·ùÕÕÆ¬£¬ÈçͼËùʾ£¬ÅÄÉã
¼×
¼×
ÕÕÆ¬Ê±£¬¾µÍ·Àë¾°ÎïԶһЩ£®

Çý³µÑØÎäººÈÆ³Ç¹«Â·£¨¼ò³ÆÍâ»·£©Ðнø£¬»á¿´µ½È«³¤188kmµÄÏÖ´ú»¯¸ßËÙ¹«Â·Á½²à£¬¸÷ÓÐ100m¿íºÅ³Æ¡°ÖлªµÚÒ»»·¡±µÄÎ人»·³ÇÉ­ÁÖÉú̬ÂÌ´ø£®
£¨1£©×¨¼Ò²âË㣬»·³ÇÂÌ»¯´øÊ÷Ã糤³ÉŨÒñºó£¬ÂÌ»¯´ø³£Äêº­ÑøË®Ô´Ï൱ÓÚÒ»×ùÈÝ»ýΪ1.14¡Á107m3µÄÖÐÐÍË®¿â£¬ÓÉÓÚË®µÄ±ÈÈÈÈÝ´ó£¬ÄÜʹÎ人³ÇÇøÏマßÎÂϽµ1¡æÒÔÉÏ£¬ÓÐЧ»º½âÈÕÒæÑÏÖØµÄ¡°ÈȵºÐ§Ó¦¡±£®ÈôÕâ¸ö¡°Ë®¿â¡±Ë®ÎÂÉý¸ß1¡æËùÎüÊÕµÄÈÈÁ¿ÍêÈ«±»ÖÊÁ¿ÏàµÈµÄ¸ÉÄàÍÁÎüÊÕ£¬¿Éʹ¸ÉÄàÍÁζÈÉÏÉý________¡æ£®[cÄàÍÁ=0.84¡Á103J/£¨kg?¡æ£©£¬cË®=4.2¡Á103J/£¨kg?¡æ£©]
£¨2£©ÔëÉùÊǵ±´úÉç»áµÄ¹«º¦Ö®Ò»£¬ËüÊÇÓÉ·¢ÉùÌåµÄ________²úÉúµÄ£¬ÓÐ×ÊÁÏÏÔʾ£¬ÔëÉùÿ¾­¹ýÒ»Ìõ100m¿íµÄÁÖ´ø¿É½µµÍ20¡«25·Ö±´£¬´Ó¼õÈõÔëÉùµÄ;¾¶¿´£¬ÕâÊÇÔÚ________ÖнµµÍÔëÉùµÄ£®
£¨3£©¡°Íâ»·¡±È«Ïß¹áͨºó£¬Ð¡¸ÕÈ«¼ÒÀûÓÃÐÇÆÚÈճ˳µÑØ¡°Íâ»·¡±¹Û¹â£¬¼ÙÈç³µÖС°Ëٶȼơ±µÄʾÊýÈçͼËùʾ£¬ËûÃÇÑØ¡°Íâ»·¡±ÓÎÍæÒ»ÖÜËùÓõÄʱ¼äΪ________h£®Í¾ÖÐС¸ÕÓá°Éµ¹ÏÏà»ú¡±ÔÚͬһµØµã¶Ôͬһ¾°ÎïÅÄÏÂÁËÁ½·ùÕÕÆ¬£¬ÈçͼËùʾ£¬ÅÄÉã________ÕÕÆ¬Ê±£¬¾µÍ·Àë¾°ÎïԶһЩ£®

Çý³µÑØÎäººÈÆ³Ç¹«Â·£¨¼ò³ÆÍâ»·£©Ðнø£¬»á¿´µ½È«³¤188kmµÄÏÖ´ú»¯¸ßËÙ¹«Â·Á½²à£¬¸÷ÓÐ100m¿íºÅ³Æ¡°ÖлªµÚÒ»»·¡±µÄÎ人»·³ÇÉ­ÁÖÉú̬ÂÌ´ø£®
£¨1£©×¨¼Ò²âË㣬»·³ÇÂÌ»¯´øÊ÷Ã糤³ÉŨÒñºó£¬ÂÌ»¯´ø³£Äêº­ÑøË®Ô´Ï൱ÓÚÒ»×ùÈÝ»ýΪ1.14×107m3µÄÖÐÐÍË®¿â£¬ÓÉÓÚË®µÄ±ÈÈÈÈÝ´ó£¬ÄÜʹÎ人³ÇÇøÏマßÎÂϽµ1¡æÒÔÉÏ£¬ÓÐЧ»º½âÈÕÒæÑÏÖØµÄ¡°ÈȵºÐ§Ó¦¡±£®ÈôÕâ¸ö¡°Ë®¿â¡±Ë®ÎÂÉý¸ß1¡æËùÎüÊÕµÄÈÈÁ¿ÍêÈ«±»ÖÊÁ¿ÏàµÈµÄ¸ÉÄàÍÁÎüÊÕ£¬¿Éʹ¸ÉÄàÍÁζÈÉÏÉý    ¡æ£®[cÄàÍÁ=0.84×103J/£¬cË®=4.2×103J/]
£¨2£©ÔëÉùÊǵ±´úÉç»áµÄ¹«º¦Ö®Ò»£¬ËüÊÇÓÉ·¢ÉùÌåµÄ    ²úÉúµÄ£¬ÓÐ×ÊÁÏÏÔʾ£¬ÔëÉùÿ¾­¹ýÒ»Ìõ100m¿íµÄÁÖ´ø¿É½µµÍ20¡«25·Ö±´£¬´Ó¼õÈõÔëÉùµÄ;¾¶¿´£¬ÕâÊÇÔÚ    ÖнµµÍÔëÉùµÄ£®
£¨3£©¡°Íâ»·¡±È«Ïß¹áͨºó£¬Ð¡¸ÕÈ«¼ÒÀûÓÃÐÇÆÚÈճ˳µÑØ¡°Íâ»·¡±¹Û¹â£¬¼ÙÈç³µÖС°Ëٶȼơ±µÄʾÊýÈçͼËùʾ£¬ËûÃÇÑØ¡°Íâ»·¡±ÓÎÍæÒ»ÖÜËùÓõÄʱ¼äΪ    h£®Í¾ÖÐС¸ÕÓá°Éµ¹ÏÏà»ú¡±ÔÚͬһµØµã¶Ôͬһ¾°ÎïÅÄÏÂÁËÁ½·ùÕÕÆ¬£¬ÈçͼËùʾ£¬ÅÄÉã    ÕÕÆ¬Ê±£¬¾µÍ·Àë¾°ÎïԶһЩ£®
Çý³µÑØÎäººÈÆ³Ç¹«Â·£¨¼ò³ÆÍâ»·£©Ðнø£¬»á¿´µ½È«³¤188kmµÄÏÖ´ú»¯¸ßËÙ¹«Â·Á½²à£¬¸÷ÓÐ100m¿íºÅ³Æ¡°ÖлªµÚÒ»»·¡±µÄÎ人»·³ÇÉ­ÁÖÉú̬ÂÌ´ø£®
£¨1£©×¨¼Ò²âË㣬»·³ÇÂÌ»¯´øÊ÷Ã糤³ÉŨÒñºó£¬ÂÌ»¯´ø³£Äêº­ÑøË®Ô´Ï൱ÓÚÒ»×ùÈÝ»ýΪ1.14×107m3µÄÖÐÐÍË®¿â£¬ÓÉÓÚË®µÄ±ÈÈÈÈÝ´ó£¬ÄÜʹÎ人³ÇÇøÏマßÎÂϽµ1¡æÒÔÉÏ£¬ÓÐЧ»º½âÈÕÒæÑÏÖØµÄ¡°ÈȵºÐ§Ó¦¡±£®ÈôÕâ¸ö¡°Ë®¿â¡±Ë®ÎÂÉý¸ß1¡æËùÎüÊÕµÄÈÈÁ¿ÍêÈ«±»ÖÊÁ¿ÏàµÈµÄ¸ÉÄàÍÁÎüÊÕ£¬¿Éʹ¸ÉÄàÍÁζÈÉÏÉý    ¡æ£®[cÄàÍÁ=0.84×103J/£¬cË®=4.2×103J/]
£¨2£©ÔëÉùÊǵ±´úÉç»áµÄ¹«º¦Ö®Ò»£¬ËüÊÇÓÉ·¢ÉùÌåµÄ    ²úÉúµÄ£¬ÓÐ×ÊÁÏÏÔʾ£¬ÔëÉùÿ¾­¹ýÒ»Ìõ100m¿íµÄÁÖ´ø¿É½µµÍ20¡«25·Ö±´£¬´Ó¼õÈõÔëÉùµÄ;¾¶¿´£¬ÕâÊÇÔÚ    ÖнµµÍÔëÉùµÄ£®
£¨3£©¡°Íâ»·¡±È«Ïß¹áͨºó£¬Ð¡¸ÕÈ«¼ÒÀûÓÃÐÇÆÚÈճ˳µÑØ¡°Íâ»·¡±¹Û¹â£¬¼ÙÈç³µÖС°Ëٶȼơ±µÄʾÊýÈçͼËùʾ£¬ËûÃÇÑØ¡°Íâ»·¡±ÓÎÍæÒ»ÖÜËùÓõÄʱ¼äΪ    h£®Í¾ÖÐС¸ÕÓá°Éµ¹ÏÏà»ú¡±ÔÚͬһµØµã¶Ôͬһ¾°ÎïÅÄÏÂÁËÁ½·ùÕÕÆ¬£¬ÈçͼËùʾ£¬ÅÄÉã    ÕÕÆ¬Ê±£¬¾µÍ·Àë¾°ÎïԶһЩ£®

Î¥·¨ºÍ²»Á¼ÐÅÏ¢¾Ù±¨µç»°£º027-86699610 ¾Ù±¨ÓÊÏ䣺58377363@163.com

¾«Ó¢¼Ò½ÌÍø