题目内容
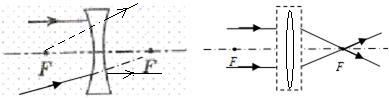
完成如图所示的光路图或在方框中画出适当类型的透镜.

解:

分析:根据透镜对特殊光线的折射特点作图.①凸透镜的三条特殊光线:平行于主光轴的光线经凸透镜折射后将过焦点;过焦点的光线经凸透镜折射后,平行于主光轴;过光心的光线传播方向不变.
②凹透镜的三条特殊光线:平行于主光轴的光线经凹透镜折射后的光线的反向延长线过焦点;射向焦点的光线经凹透镜折射后,将平行于主光轴;过光心的光线传播方向不变.
点评:本题考查了两种透镜对特殊光线的折射特点.注意两种透镜对特殊光线折射时的不同点,光线上要标出光的传播方向.
分析:根据透镜对特殊光线的折射特点作图.①凸透镜的三条特殊光线:平行于主光轴的光线经凸透镜折射后将过焦点;过焦点的光线经凸透镜折射后,平行于主光轴;过光心的光线传播方向不变.
②凹透镜的三条特殊光线:平行于主光轴的光线经凹透镜折射后的光线的反向延长线过焦点;射向焦点的光线经凹透镜折射后,将平行于主光轴;过光心的光线传播方向不变.
点评:本题考查了两种透镜对特殊光线的折射特点.注意两种透镜对特殊光线折射时的不同点,光线上要标出光的传播方向.
练习册系列答案
相关题目