题目内容
一个标有“6V 3W”字样的小灯泡,正常工作时灯泡的电阻是 Ω,通过小灯泡的电流是 A.当小灯泡两端的电压为3V时.它的实际功率是 W.(设灯丝电阻不变)
【答案】分析:由功率公式可求得灯泡的电阻;由欧姆定律可求得通过灯泡的电流;由功率公式可求得电压为3V时的实际功率.
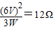
解答:解:由功率公式可得灯泡的电阻为
R=
=
;
由欧姆定律可得通过小灯泡的电流I=
=
;
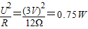
由功率公式可得实际功率P′=
;
故答案为:12,0.5,0.75.
点评:本题中第二空也可由功率公式P=UI得出通过小灯泡的电流.
解答:解:由功率公式可得灯泡的电阻为
R=
由欧姆定律可得通过小灯泡的电流I=
由功率公式可得实际功率P′=
故答案为:12,0.5,0.75.
点评:本题中第二空也可由功率公式P=UI得出通过小灯泡的电流.
练习册系列答案
相关题目