题目内容

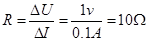
.某定值电阻两端的电压增加1V,流过的电流就增大0.1A,该电阻的阻值为______Ω.

 

【答案】

10

【解析】

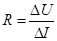
试题分析:欧姆定律表达式有或者,本题中已知数据为电压和电流的变化量,所以带入公式

考点:欧姆定律

 

练习册系列答案
相关题目
阅读下列短文,回答短文后的问题:
在探究“电流跟电压、电阻的关系”的过程中,一些同学作出了以下猜想:
猜想A:电流可能跟电压成正比;
猜想B:电流可能跟电阻成反比;
猜想C:电压可能跟电阻成正比.
为了检验上述猜想是否正确,某同学按如图所示的电路图连接实物进行了实验探究(其中R为定值电阻,R′为滑动变阻器),并设计如下探究方案:
步骤1:保持定值电阻R的阻值不变,闭合开关S后,调节滑动变阻器的滑片,使R两端的电压成整数倍地变化,如2V、4V、6V等,分别读出并记录对应于不同电压的电流表的示数,比较每次电流表的示数是否成整数倍地变化.
步骤2:换用不同的定值电阻,使电阻成整数倍地变化,如5Ω、10Ω、15Ω等,调节滑动变阻器的滑片,保持每次定值电阻两端的电压不变,分别读出并记录对应于不同阻值的电流表的示数,比较每次的电阻值与电流值的乘积是否相等.
(1)在闭合开关S前,滑动变阻器的滑片应置于
阻值最大
阻值最大
的位置;
(2)“步骤2”的设计目的,是为了检验上述猜想中的
B
B
猜想;
(3)为了检验“猜想C”是否正确,可再增加一个步骤,写出你所设计的这一步骤:
换用不同的定值电阻,使电阻成整数倍地变化,如5Ω、10Ω、15Ω等,调节滑动变阻器的滑片,保持每次通过定值电阻的电流不变,分别读出并记录对应于不同阻值的电压表的示数,比较每次电压表的示数是否成整数倍地变化
换用不同的定值电阻,使电阻成整数倍地变化,如5Ω、10Ω、15Ω等,调节滑动变阻器的滑片,保持每次通过定值电阻的电流不变,分别读出并记录对应于不同阻值的电压表的示数,比较每次电压表的示数是否成整数倍地变化

违法和不良信息举报电话:027-86699610 举报邮箱:58377363@163.com

精英家教网