题目内容
如图所示,R2=2Ω,电源电压6V且不变.当Sl,S2都断开时,电流表的示数为0.6A,当S1,S2都闭合时,电流表的示数为1A.求R1和R3的阻值分别是多大.
【答案】分析:分别画出两种情况(当Sl,S2都断开、当S1,S2都闭合)时的等效电路图,知道电源电压和总电流,利用欧姆定律求电流列方程组解出两电阻R1和R3的阻值.
解答:
解:当Sl,S2都断开时,如右上图,
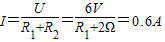
∵Rl和R2串联,
∴
,
∴R1=8Ω.
当S1,S2都闭合时,如右下图,
∵Rl和R2并联,
∴I1+I3=1A,
即:
,
∴R3=24Ω.
答:R1和R3的阻值分别是8Ω和24Ω.
点评:分析电路图,画出当Sl,S2都断开和当Sl,S2都闭合时的等效电路图是解本题的关键.
解答:
∵Rl和R2串联,
∴
∴R1=8Ω.
当S1,S2都闭合时,如右下图,
∵Rl和R2并联,
∴I1+I3=1A,
即:
∴R3=24Ω.
答:R1和R3的阻值分别是8Ω和24Ω.
点评:分析电路图,画出当Sl,S2都断开和当Sl,S2都闭合时的等效电路图是解本题的关键.
练习册系列答案
相关题目